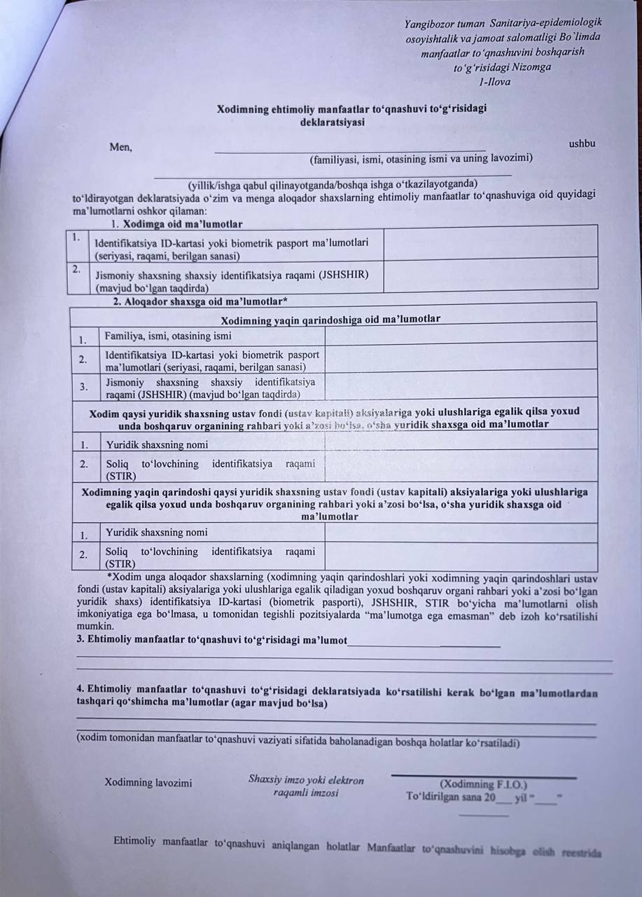
Manfaatlar to'qnashuvini boshqarish to'g'risidagi NIZOM









Ctrl
Enter
Xatoligni aqniqladingizmi?
Matnni belgilang va Ctrl+Enter tugmalarini bosing.
Hamda bularni ko'ring
Manfaatlar to'qnashuvini boshqarish bo'yicha Nizom17-05-2025, 09:41
O'zbekiston Respublikasining 2024-yil 5-iyundagi "Manfaatlar to'qnashuvi" O'RQ 931-sonli Qonuni'to'g'risidagi yig'ilish22-07-2025, 16:07
Maktabgacha talim tashkilotlarida prokuratura topshirig'ining ijrosi bo'yicha nazorat19-06-2024, 12:42
"Mahallabay" ishlari bo'yicha10-07-2025, 11:15











